TB58电商论坛

 找回密码
 免费注册

QQ登录

只需一步,快速开始

搜索
查看: 1282|回复: 2
收起左侧

[淘宝天猫] 淘宝开始“变脸”:新算法VS老套路......

[复制链接]
发表于 2020-9-16 17:39:46 | 显示全部楼层 |阅读模式
“数字只是目的,但了解数字背后的人心才是最佳的手段。”

从2003年到现在,淘宝走过了17个年头。横亘在历史长河中的不只是这个电商巨头留下的**传说,更多的是“电商”二字成了很多人的金牌饭碗,风险与机遇并存。

可惜,不入虎**,焉得虎子?

越来越多的电商人开始研究,怎么才能在电商**中立于不败之地?今天,易师兄来和大家讲讲淘宝的最新算法。


1.0 “变脸”的阿里

一成不变不是互联网的风格。

据悉,双十一前夕,手机淘宝即将迎来重大改版。手淘首页将全面信息流化,原本顶部显眼的焦点图展示广告将改成竖版,移动到页面下方算法推荐信息流的第一个位置。

640.webp.jpg

此后,改版后的“猜你喜欢”模块将成为淘宝首页的新宠儿,聚划算、百亿补贴、淘宝直播、有好货等版块的结合体,不再位于淘宝页面的中部,将共同融入到信息流当中。


为了迎接2020的“双十一”,淘宝也是费了一番功夫。此计划已经在灰度测试当中,但最终方案会看测试效果而定。

640.webp (1).jpg
首页改版,算法推荐,这些词语用在电商平台上也是十分贴合。这次重大改版,如见成效,将会在9月底完成全部改版。

这是一次创新,在电商领域中,平台首页版块的重新规划直接影响到一些电商商家的运营计划。毕竟,除了搜索这个最大的流量入口池,首页就是最好的位置。

640.webp (2).jpg
据易师兄看来,如今改变算法推荐的动作,灵感可能来源于短视频领域,而原因可能是由于用户对于首页焦点banner图模式的审美疲劳。

除了淘宝,拼多多也开始了变革。早在 2020 年 6 月,拼多多就向商家表示,由于平台推广资源位进行优化迭代,其首页焦点图的展示广告资源已于 2020 年 6 月 5 日 0 点起暂时下线。

640.webp (3).jpg
除此之外,“满天星计划”成为阿里对标抖音和快手电商的新方法。这个短视频项目将在首页 “猜你喜欢” 中,通过新内容冷启动激励来为商家产出的短视频内容提供更多流量,并将数据反馈给商家,帮助商家产出更适合自己消费群体的内容。

2.0 是算法还是套路

早在2018年,阿里就发现了手淘“个性化”推荐的重要性,彼时,天猫双十一的个性化推荐流量已经超过了搜索入口的流量,因此,后来手淘改版后“猜你喜欢”版块从第七屏一跃到了第二屏。这为淘宝现在打造全面信息流埋下了伏笔。
以前的淘宝是“人找货”的商业逻辑,通过产品为核心,而现在,已经变成了“货找人”的方式。讲究以人为核心,背后是巨大的利益重新分配和体系重新建立。
那么,淘宝的算法究竟是什么?接着往下看:

1.根据商品分类和自身属性进行推荐:
(1)加权求和法:
核心逻辑:利用丰富的数据库源源不断地向用户推荐商品,推荐点在于商品之间的关联性、相似性、维度匹配性等等。不涉及用户数据。
举例:一件用户搜索的衣服,但是点开后由于材质、价格、或者客服态度没有达到用户理想的效果,系统会自动匹配另外一款衣服,以供用户选择。
商品维度:【材质】【样式】【颜色】【价格】等等维度,如果相同,不加权,如果不同,根据赋值加分。
根据加权累加的公式,可以得到如下表格:

640.png 640.webp (4).jpg
因此,A商品是系统推荐首选,其后,将会推荐这个相似度分数比较高的商品了,当然A商品不会重复推荐。长期推荐点击量不高的产品,后面可以进行动态优化。
(2)商品的被动销售级属性进行推荐:
核心逻辑:根据最终在用户订单中出现的概率来判断商品间的相关性。(同时被浏览的几率,同时被加入购物车的几率,同时被购买的几率)即支持度、置信度、提升度。
计算A→B支持度,购买A还购买B这个组合的订单占所有订单的百分比。
计算A→B置信度,购买A还购买B这个组合的订单占所有购买A的订单的百分比。
计算A→B提升度,购买A还购买B的概率同不购买A只购买B商品的概率之商。
根据相关度算法,首先先从所有订单中找出包含A商品的订单个数N1,然后再查询A的所有订单中出现B的个数N2,则置信度X=N2/N1。


2.根据用户定义标签
核心逻辑:根据用户基础信息和行为数据推荐商品。(人以群分,将有相似的属性,相似行为的用户分为一类人,然后这一类中的人某一个人喜欢A产品,那么其他人也有极大的可能喜欢A产品)

(1)基础标签:可能就是年龄标签、性别、收入范围、兴趣爱好、星座、生活区域等,通过类似的标签推荐兴趣相似的人群。

(2)行为标签:通过搜索、浏览、收藏、加购、购买、分享等行为,判定用户对部分商品的喜爱度。

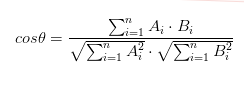
所有类目商品的喜好度向量和用户B的向量而言,他们在多维空间的夹角可以用向量余弦公式计算:


QQ截图20200916172808.png
余弦值的值域在【-1,1】之间,0表示完全垂直90°,-1表示夹角180°,1表示夹角为0°,系数越靠近1,向量夹角越小,两件商品的相关性越高。

QQ截图20200916172917.png (3)多纬度的扩展型标签模型:[backcolor=rgba(217, 78, 58, 0.03)]搜索主要商品(例如手机)为A标签,商品附加属性(例如品牌、价格)为B标签,淘宝将A标签和B标签做相同标签配对,中间同时会在配对时再引入动态的标签权重表C,C是动态的,会根据淘宝的营销策略生成的场景条件D来进行动态变化。
目前影响算法推荐的因素:简而言之一句话,用户的喜好会成为你的商品是否展示的主要考核标准。
用户对商品的主动搜索一直会存在,因为品牌具有确定性和主张,但在电商平台中,它带来的流量占比会越来越小。
时代在不断发展,电商平台的推荐机制也在不断优化。“长江后浪推前浪,”想要在电商这条路上一直走下去,了解最新的规则,是重中之重。


发表于 2020-9-16 23:17:26 | 显示全部楼层
太难了!!!!都想放弃了
→ 这里可以随意广告或签名,发布主题后即可显示,设置方法:首页顶部右上角【我的】,下拉即可看到【签名】
发帖求助前要善用【论坛搜索】功能,那里可能会有你要找的答案或者已经有人发布过相同内容了,请勿重复发帖。
发表于 2020-9-18 11:10:03 | 显示全部楼层
→ 这里可以随意广告或签名,发布主题后即可显示,设置方法:首页顶部右上角【我的】,下拉即可看到【签名】
使用 高级模式(可批量传图、插入视频等)
您需要登录后才可以回帖 登录 | 免费注册

警告:禁止回复纯表情、纯数字、复制他人回复等违反『回帖规则』行为,违者重罚

快速回复 收藏帖子 返回列表 客服中心 搜索
快速回复 返回顶部 返回列表